更新时间:2018-11-09
点击次数:2055
背景介绍
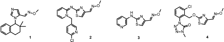
咪唑和噻唑的N-烷氧基肟醚C4和C5取代物在生物学领域研究价值非常高,比如图1中的化合物,化合物1可用于除草剂,2可用于杀虫剂,3和4可能用于真菌灭活。

图1:咪唑和噻唑甲氧基肟取代物
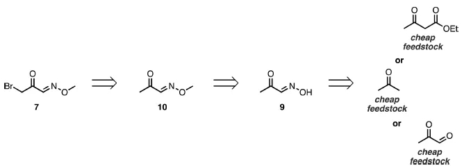
2-(吡啶-3-)-噻唑-4-甲醛 O-甲基肟连续合成
英国剑桥大学连续流专家Steven Ley团队近在OPR&D上报道了2-(吡啶-3-)-噻唑-4-甲醛 O-甲基肟,即化合物3的连续合成方法。

图2:噻唑杂环化合物的传统路线vs.新路线
新路线使用3-溴-2-氧代丙醛 O-甲基肟(7)与硫脲(5)直接合成产品3(如图2所示)。与传统方法相比,剑桥大学团队构思的新路线更为快速、紧凑,而且在合成杂环衍生物方面更为的。
在此方法中,化合物3-溴-2-氧代丙醛 O-甲基肟(7)的合成是关键步骤,下面来看看化合物7是如何连续合成的。
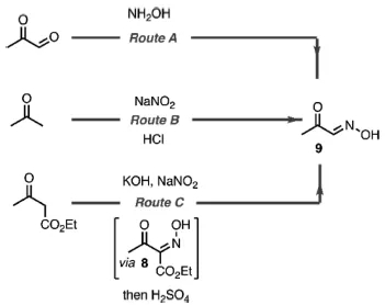
一、3-溴-2-氧代丙醛 O-甲基肟(7)的三步连续合成
该方法是基于2-氧丙醛肟(9)作为主要的建筑砌块。化合物(9)可以从三种廉价原料开始(图3)O-甲基化为(9 )提供甲氧基亚氨基衍生物(10)和选择性溴化这个中间体得到zui终目标化合物(7)。

图3:中间体肟(7)合成路线
该过程的成功得益于连续流技术的安全性和对危险中间体的掌控。下面详细介绍使用连续流技术,针对三步反应分别进行的合成研究:
2-氧代丙醛肟(9)的合成

图4:2-氧代丙醛肟(9)的釜式合成
2-氧代丙醛肟(9)的合成虽然有三种途径,通过对三种不同工艺的研究对比,路线B 连续流的方案。实验研究发现,温度和混合效果对产物的质量影响很大,使用连续流微反应技术收率可达88%、纯度94%。

图5:2-氧代丙醛肟(9)的连续合成
2. 2-氧代丙醛 O-甲基肟(10)的合成
2-氧代丙醛肟(9)和*在碱性条件下反应很容易生成 2-氧代丙醛 O-甲基肟(10),但此步反应的放热量达到1870J/g,绝热温升超过1100K。对这类强放热反应,微反应技术可以很好地控制反应热。实验结果表明,该反应使用连续流微反应技术优化后收率达到72%。

图6:2-氧代丙醛 O-甲基肟(10)的连续合成
3. 3-溴-2氧代丙醛 O-甲基肟(7)的合成
在釜式反应中,溴化反应速度快、选择性差、过程难控制、环境污染大且放大困难。使用微通道连续流优化后,原料从溴/甲苯溶液变为纯溴,收率达到80%,选择性超过95%。该溴化过程不但省掉了溶剂的使用,收率和选择性都大大提升。
二、 目标产物2-(吡啶-3-)-噻唑-4-甲醛 O-甲基肟(3)的合成
3-溴-2氧代丙醛 O-甲基肟(7)不稳定、无法长时间保存,的方法是产出后直接消耗掉,可以避免分解带来的安全风险。剑桥团队将所有反应路线集成为一整条连续流生产路线,不稳定中间体即时产出即时消耗,目标产物(3)的产出量可达273g/day。

图7:目标产物2-(吡啶-3-)-噻唑-4-甲醛 O-甲基肟(3)的多步全连续合成
实验小结
l 利用微反应器可以实现多步反应的连续合成;
l 微反应器可以地应对多相体系的传质要求;
l 微反应体系解决强放热体系的安全问题;
l 全连续过程有效应对中间体不稳定的过程;
l 微反应技术控制反应时间和反应温度,提升反应选择性。
参考文献:DOI: 10.1021/acs.oprd.8b00095
康宁反应器技术
康宁微通道反应器以其本质安全、的传质传热、无缝放大等特性,可以解决釜式生产中普遍存在的危险性高、反应时间长、选择性差和难以放大等难题。
多步连续合成的即产即用模式,省去了中间体后处理的繁琐工序,节省了运输和储存所带来的费用,更是避免了强活性中间体可能带来的安全风险。
Copyright © 2026 东南科仪版权所有 备案号:粤ICP备07011256号
技术支持:化工仪器网 管理登录 sitemap.xml